

[Objective] To achieve accurate ultra-short-term photovoltaic power forecasting and address the insufficient extraction of cloud-information from ground-based sky images in traditional neural networks, this paper proposes an ultra-short-term photovoltaic power forecasting approach based on cloud features and a vision transformer+long short-term memory (ViT+LSTM) neural network. [Methods] First, an adaptive cloud recognition algorithm using Otsu’s method (OTSU) is adopted to generate high-accuracy binary images of cloud distribution. Second, a hybrid cloud‑motion‑vector algorithm is proposed, combining a similarity‑weighted cloud‑motion approach with the Farneback optical flow method to generate pixel‑level cloud‑displacement matrices. Ground‑based sky images, cloud distribution images and cloud motion matrices are concatenated to generate fused images. Finally, the ViT+LSTM neural network architecture is constructed for photovoltaic power forecasting. The ViT neural network extracts global spatial features from the fused images, and then global spatial features concatenated with historical photovoltaic power and temporal feature data are fed into LSTM neural network to capture temporal dynamic features. [Results] Case studies demonstrate that the approach effectively reduces cloud motion calculation error. The proposed approach achieves a 16.75% reduction in RMSE relative to the baseline model for ultra-short-term forecasting tasks. [Conclusions] The proposed cloud-feature extraction approach successfully extracts explicit cloud features, the proposed neural network architecture significantly outperforms existing models in forecasting performance; the proposed approach validates its accuracy in forecasting photovoltaic power fluctuations under different weather conditions.
[Objective] To address the challenge of declining accuracy in photovoltaic power prediction caused by rapidly changing cloud conditions, this paper proposes an ultra-short-term photovoltaic (PV) power prediction method based on the cloud-irradiance-power coupling mechanisms. [Methods] First, a two-stream convolutional network is constructed to extract spatial and motion features of clouds, while a Transformer encoder is employed to capture the temporal features of irradiance sequences. Then, cross-attention mechanism is applied to fuse these features for multi-step ahead prediction of surface irradiance. Finally, to overcome the limitations of purely data-driven approaches, this study constructs a photovoltaic power prediction model by using irradiance forecasts as inputs and incorporating physical constraints governing the surface irradiance-to-power output conversion. [Results] Experimental results show that the proposed irradiance prediction method outperforms baseline models under various weather conditions. Furthermore, using the predicted irradiance as input significantly improves PV power forecasting accuracy compared to methods that directly incorporate cloud information. The introduction of physical constraints further enhances PV power prediction performance and improves the model’s generalization capability. [Conclusions] This study demonstrates that deeply mining the impact of dynamic 3D cloud information on irradiance and incorporating physical prior knowledge between irradiance and PV power represents an effective way to enhance the accuracy and model generalization capability of ultra-short-term PV power prediction.
[Objective] To address the problems that when large-scale electrification-transportation coupling network (ETCN) encounters sudden resilience faults, traditional schemes have slow generation speed, are difficult to respond to dynamic information interaction in real time, and artificial intelligence algorithms are prone to cause safety accidents such as voltage over-limit due to the lack of security mechanisms in application, this paper proposes a resilience improvement strategy for ETCN based on safe deep reinforcement learning (SDRL). [Methods] First, the paper establishes a two-stage electrification-transportation optimization framework: the first stage prioritizes the protection of high-value loads with minimum reconfiguration cost, while the second stage optimizes electric vehicle (EV) routing with minimum traffic dispatch cost. Second, a hierarchical decision-making model based on a modified Rainbow algorithm is designed. The upper layer outputs the action plan of the power grid interconnection switch and inputs the reconstructed power grid state to the lower layer. The lower layer integrates grid reconfiguration state with real-time traffic information to optimize EV routing selection, with the objective to ensure that EV routing optimization can real-time adapt to the power grid’s recovery needs. In addition, the Lagrange multiplier safety mechanism is embedded, and an objective function with risk penalties is constructed to achieve dynamic penalties for risk behaviors such as voltage over-limit and current over-limit. [Results] Finally, the simulation based on the actual road network in Shanghai and the IEEE123-node distribution network shows that the proposed strategy can significantly enhance the resilience and operational safety of the system in fault scenarios. Compared with the mixed integer programming and particle swarm optimization methods, the method proposed in this paper demonstrates superior comprehensive performance in terms of load recovery rate, recovery speed, voltage stability and strategy security. [Conclusions] This paper verifies the effectiveness of hierarchical safe deep reinforcement learning in improving the resilience of ETCN. This method solves the problem of the separation of electrification-transportation targets through a two-stage architecture, achieving a balanced synergy among computing efficiency, load recovery rate and operational safety.
[Objective] To address limitations in spatio-temporal feature extraction and the integration of multi-scale features in wind power cluster prediction, this paper proposes a multi-scale fusion prediction method based on spatio-temporal graph spectral clustering (ST-SpecCluster) and a time-series 2D-reshaping Ttransformer (T2Dformer). [Methods] A spatial skeleton is constructed utilizing the geographical coordinates of wind farms. A hybrid spatio-temporal graph is built to capture both static geographical proximity and dynamic operational correlations by dynamically calculating the Pearson correlation coefficients between wind farms using power data within sliding time windows. Deep spatio-temporal features are extracted via a spatio-temporal graph convolutional network (ST-GCN), and an attention aggregation mechanism is combined with spectral clustering to partition the wind farms into highly correlated sub-clusters. For each sub-cluster, the power and numerical weather prediction (NWP) sequences are decomposed into trend, periodic, and residual components using the seasonal-trend decomposition procedure based on loess (STL). A novel prediction model, the T2Dformer, is then designed to jointly model multi-scale features through the collaboration of fast Fourier transform (FFT) period extraction, time-series 2D reshaping, Inception convolution, and attention mechanisms. Each component of every cluster is predicted separately, followed by aggregation and reconstruction. [Results] The proposed method was applied to a wind farm cluster in Jilin Province, China. Compared with state-of-the-art prediction methods, the proposed approach reduced the normalized root mean square error by 1.89%, reduced the normalized mean absolute error by 2.87%, and increased the coefficient of determination (R²) by 10.87%. [Conclusions] This paper provides an effective solution for high-precision wind power prediction, with practical significance for enhancing the dispatching capability of power systems and the consumption of renewable energy.
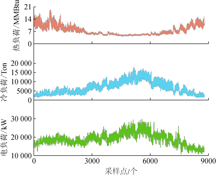
[Objective] To further explore the potential structure of load sequence data in integrated energy systems (IES) and enhance the overall prediction accuracy and reliability of IES load forecasting models, this paper proposes a novel load forecasting method for IES based on optimized modal decomposition and the DGRUK network. [Methods] Firstly, for the multi-energy load sequence decomposition stage, an improved ivy algorithm is employed to optimize the parameters of the improved complete ensemble empirical mode decomposition. Decomposes cooling, heating, electricity, and other multi-energy load sequences into intrinsic mode function components, thereby reducing the non-stationarity and complex coupling of the original sequences. Secondly, during the feature extraction phase, the discrete cosine transform is integrated into the channel attention mechanism to efficiently capture global correlations among different channels and enhance the representation of key features. Finally, a DGRUK network is constructed by leveraging the advantages of Kolmogorov-Arnold networks in nonlinear mapping. This step compensates for the limitations of traditional fully connected layers in handling complex nonlinear relationships, thereby improving the model's capability to process high-dimensional, non-stationary load data. [Results] The proposed method achieves mean absolute percentage errors (MAPE) of 2.045%, 2.379%, and 1.234% for cooling, heating, and electrical load forecasting, respectively. All error metrics are lower than those of other commonly used methods, verifying the effectiveness of the proposed approach. [Conclusions] The proposed method effectively addresses the issues of non-stationarity and complex coupling in multi-energy load sequences of integrated energy systems. It provides scientific support for the optimal scheduling and operational management of integrated energy systems.
[Objective] Driven by the carbon peaking and carbon neutrality goals, large-scale connection of renewable energy into the grid has accelerated. Due to the diversity of grid-connection scenarios, hybrid control schemes combining grid-following (GFL) and grid-forming (GFM) converters are often adopted. However, detailed control configurations are typically not considered during the planning stage, where system stability is ensured only by reserving large safety margins, leading to suboptimal economic efficiency. How to scientifically configure the proportion of GFL and GFM converters in renewable energy bases according to specific grid-connection scenario requirements, optimize their deployment locations and control parameters, and achieve optimal stability performance of the grid-connected system has thus become a critical issue to be addressed in both engineering practice and academic research. [Methods] To tackle this issue, this paper proposes a phased technical framework for stability control configuration and provides a systematic review of related technologies. First, based on typical renewable energy base transmission projects and their operational characteristics, the stability control requirements under diverse grid-connection scenarios are quantitatively characterized. Then, the existing technological advances are reviewed according to three progressive phases: 1) optimization of grid structure and equipment composition, 2) selection and enhancement of control structures and capabilities, and 3) optimization of control parameters. In each phase, current research shortcomings and challenges are analyzed in depth. [Results] Finally, future key research directions are outlined in four areas: improving the usability of control requirement characterization, optimizing composition with consideration given to equipment nonlinearity and scenario diversity, quantifying control capability and expanding strategy selection, and systematically optimizing control parameters. This work aims to provide a reference for subsequent pathways of technological research and development in this field.
[Objective] Aiming at the new challenge of unclear transient voltage and system frequency operation risks faced by sending-end power systems with a high proportion of renewable energy after commutation failure, this paper reveals the dynamic coupling mechanism between transient voltage and frequency at the sending end. This study provides a theoretical foundation for the stable operation of sending-end systems with high-penetration renewable energy. [Methods] A simulation model of a sending-end system with a high proportion of renewable energy is established based on DIgSILENT/PowerFactory. First, the dynamic coupling law of active power transmission and reactive power consumption of the rectifier during commutation failure is analyzed. Based thereon, the impact of renewable energy fault ride-through characteristics on the imbalanced power of the sending-end system is investigated. Second, considering the influence of the changing renewable energy grid-connected proportion on the system inertia constant and node short-circuit capacity, the dynamic coupling law of transient voltage-frequency, with transient voltage as the conduction path, is revealed. [Results] As the system strength gradually decreases with the increase of renewable energy output, the fault coupling characteristics of “low voltage-high frequency” and “high voltage-high frequency” at the sending end after commutation failure become increasingly severe. It is verified that low-voltage ride-through of renewable energy helps suppress frequency rise, although the recovery process of low-voltage ride-through is unfavorable for the frequency to recover from high frequency to power frequency, while high-voltage ride-through is beneficial for frequency recovery. [Conclusions] This paper reveals the voltage-frequency fault coupling characteristics of sending-end systems with a high proportion of renewable energy, where transient voltage acts as the conduction path after commutation failure. Furthermore, an outlook and analysis on suppression technologies for transient voltage-frequency operation risks in such systems are provided.
[Objective] To enhance the resilience of distribution networks under typhoon disasters and mitigate the risks of load interruptions and power supply losses caused by natural disasters, this paper proposes a resilience-oriented optimization strategy and evaluation method that accounts for load restoration priority and dynamic repair. [Methods] Typhoon-induced fault scenarios are constructed by integrating the Batts typhoon model with a line fault model, thereby capturing the impacts of typhoon intensity and trajectory on distribution networks. On this basis, a multi-source collaborative optimization model is developed with the core objective of prioritizing the restoration of critical loads. The model couples dynamic reconfiguration, fault repair, and the dynamic output characteristics of distributed energy resources (DERs) to enable rapid response and efficient resource dispatch during disasters. A set of resilience evaluation metrics of load average recovery level considering load weights is proposed to quantitatively evaluate system resilience under different scenarios. [Results] Case studies on a modified IEEE 33-bus distribution system demonstrate that the proposed strategy effectively reduces overall system load losses and significantly improves the restoration level of critical buses and essential users under typhoon scenarios. The simulation results also validate the applicability and effectiveness of the proposed evaluation metrics in distinguishing the merits and demerits of different recovery strategies. [Conclusions] The proposed strategy achieves dynamic optimization of distribution networks throughout the disaster impact and recovery process. Compared with conventional approaches, it exhibits distinct advantages in terms of load restoration speed, supply reliability, and resource utilization efficiency. In addition, the proposed resilience evaluation metrics provide a more scientific characterization of system resilience under disaster conditions, compensating for the limitations of conventional metrics. Overall, this paper offers valuable insights and references for fault recovery and resilience evaluation of future power systems under typhoon disasters.
[Objective] Grid-forming ultra-high voltage (UHV) flexible DC converter stations are a crucial solution for supporting the large-scale transmission of high-share renewable energy. However, their multi-valve group series-parallel structure under grid-forming control is prone to issues such as uneven DC voltage distribution and energy coupling. This paper aims to uncover the energy coupling mechanism in dual-valve group systems and proposes a corresponding control strategy to achieve energy decoupling among valve groups and internal capacitor energy balance. [Methods] First, an energy interaction mathematical model of the dual-valve group system is established to theoretically analyze the generation mechanism of energy coupling. Subsequently, a master-slave grid-forming control strategy for modular multilevel converter (MMC) with dual valve groups, based on submodule energy balancing theory, is proposed to suppress inter-valve group energy interaction and achieve decoupling control. Finally, the correctness of the theoretical analysis and the effectiveness of the proposed control strategy are verified through an electromagnetic transient simulation model of a sending-end grid-forming UHV MMC with multiple valve groups built on the PSCAD/EMTDC platform. [Results] The proposed control strategy effectively suppresses the energy interaction between the dual valve groups, achieving energy decoupling between them. Simultaneously, it balances the submodule capacitor energy distribution within the converter valves and between the valve groups while maintaining stable power transmission. [Conclusions] Through mathematical modeling and a master-slave grid-forming control strategy, the issue of energy coupling during the operation of grid-forming UHV MMC with dual valve groups has been effectively addressed. This approach not only achieves energy decoupling and capacitor energy balancing between valve groups but also provides a theoretical foundation and a control solution for the stable operation of multi-valve group flexible DC systems in practical engineering applications.
[Objective] With the construction of China’s new power system, renewable energy bases in desert, gobi and barren areas are gradually becoming crucial power suppliers. Based on the planned capacity of these bases, the actual power delivered to receiving-end grids is influenced by various external factors, involving different stakeholders across multiple stages. Therefore, for the complex system comprising multi-base sources, multi-channel transmission, and multi-receiving ends, evaluating the transmission capacity of any single base requires a comprehensive consideration of multiple factors. [Methods] This study analyzes the entire process of power transmission from the base power sources to the receiving-end grids via transmission channels. By reviewing existing research in each domain, various factors affecting the base’s power transmission capability are elaborated in detail. [Results] The transmission process can be divided into three stages: the base power source, the transmission channel, and the receiving-end grid. In the power source stage, fluctuations in renewable energy and grid-following and grid-forming technologies affect the active power output. In the transmission stage, control strategies of either conventional direct current transmission technology or flexible direct current transmission technology, along with the strength of both sending-end and receiving-end grids, determine the channel's maximum transmission capacity. In the receiving-end stage, single direct current feed-in, multi-direct current technology combination schemes, and multi-direct current coupling affect the receiving-end grid’s power acceptance capability. A comprehensive assessment of the base’s transmission capacity must integrate the aforementioned factors. [Conclusions] The proposed systematic evaluation method can promote collaborative efforts among stakeholders across different stages. By comprehensively considering the constraints of base capacity planning and transmission-affecting factors, this method provides technical insights and references for accurately assessing the transmission capability of complex systems involving renewable energy bases in desert, gobi and barren areas.
[Objective] Aiming at the stability issues arising from weak grid conditions (short-circuit ratio < 1.5) and the large-scale centralized integration of renewable energy in desert, Gobi, and barren areas, this paper proposes a critical multiple renewable energy station short-circuit ratio calculation and discrimination method that reflects the role of grid-forming energy storage. [Methods] Based on the analysis of the multiple renewable energy station short-circuit ratio, key parameters such as virtual impedance, energy storage capacity, and connection reactance are introduced to establish a modified formula. By combining eigenvalue analysis of the extended Jacobian matrix, a real-time calculation method for the critical short-circuit ratio and stability criterion is proposed, thereby unifying the short-circuit ratio index with static voltage stability theory. Furthermore, a 3-machine 9-bus system simulation model is constructed on the electromagnetic transient simulation platform PSCAD/EMTDC. [Results] After connecting grid-forming energy storage, the system’s short-circuit ratio level is significantly improved. The critical short-circuit ratio increases from 1.07 to 1.52, the wind power penetration limit rises from 50% to 54%, and the voltage sag amplitude is reduced, indicating enhanced support capability. Further simulation analysis reveals that rationally configuring the virtual impedance can improve the voltage stability margin, increasing the energy storage capacity can enhance system strength, whereas increasing the connection reactance weakens the coupling effect and reduces the critical short-circuit ratio. [Conclusions] The proposed method can accurately determine the critical stable state of the system and quantify the sensitivity of grid-forming energy storage parameters to grid strength. It addresses the deficiency of current short-circuit ratio indicators in reflecting the role of grid-forming energy storage.
[Objective] In response to the insufficient boost capability and excessive device stress when conventional converters are applied to hydrogen fuel cell grid connection, a low electrical stress high-gain single-switch converter based on a dual Z-source network (LEHGSSC-DZ) is proposed. [Methods] This converter places the switching transistor in the quasi-Z source converter upfront to reduce device stress. Simultaneously, one of the inductor components is replaced with a quasi-Z source network, forming a dual-Z source network structure to enhance the converter's boost capability. The operating principle and output characteristics of the converter are analyzed, and a comprehensive comparison is made between the LEHGSSC-DZ and several other high-gain boost converters. Component parameter design is provided based on its output characteristics. The correctness of theoretical analysis and the feasibility of LEHGSSC-DZ are verified through simulations and experiments. [Results] The results demonstrate that the LEHGSSC-DZtopology employs fewer devices and offers superior cost-effectiveness. Compared to conventional Z-source boost converters, it achieves a 43.8% increase in output voltage, while delivering an output voltage that is 5.1 times higher than that of conventional boost converters. Furthermore, it reduces switching device voltage stress by 30%. [Conclusions] The proposed converter offers the distinct advantages of low electrical stress, high gain, and minimal device count, achieving a maximum efficiency of 97.25%. This contributes to enhancing the operational efficiency of hydrogen fuel cell grid-connected systems.
[Objective] Polypropylene (PP) film capacitors are widely used in critical power equipment due to their excellent characteristics such as low loss and high voltage endurance. However, their low dielectric constant limits performance enhancement. [Methods] Increasing the dielectric constant of films is the core approach to maximizing capacitor performance. While conventional methods employing high-dielectric ceramic nanoparticles can improve dielectric constants, they often lead to reduced breakdown field strength. As such, how to keep a high breakdown field strength while improving dielectric performance becomes a challenge. This paper innovatively designs a core-shell structured nanofiller system, featuring a high-dielectric barium titanate (BaTiO₃) core and a low-dielectric disordered shell, to construct hierarchically structured composite films. [Results] Experimental results demonstrate that the composite film achieves an energy storage density of 10.6 J/cc, representing a 5-fold improvement over pure PP films, while synergistically optimizing both dielectric constant and breakdown field strength. Mechanistic analysis reveals:1) The low-dielectric shell buffers the organic-inorganic interfacial dielectric mismatch, suppressing electric field distortion and significantly enhancing breakdown field strength; 2) Space charges induced at the core-shell interface form unique distributions under the effect of electric field, generating strong interfacial polarization during migration to substantially boost dielectric constant. [Conclusions] By precisely controlling nanofiller microstructure, this study successfully resolves the conflict between dielectric performance and insulation strength. The work provides new insights for the design of high-performance capacitor films.
[Objective] In response to the high investment cost and long investment payback period when grid-forming energy storage is directly constructed in weak power systems, and in consideration of the value incentives of multiple markets, a decision-making method for the grid-forming transformation of electrochemical energy storage based on the existing grid-following electrochemical energy storage is proposed in the context of the electric energy-frequency regulation-inertia joint market. [Methods] Based on the trading framework of the electric energy-frequency regulation-inertia joint market which includes electrochemical energy storage, and from the perspective of electrochemical energy storage operators, a bilevel model for electrochemical energy storage integration in the joint market is established, taking into account the cost of grid-forming transformation of electrochemical energy storage. The upper-level model aims to maximize the revenue of energy storage for market trading and grid-forming transformation decisions. The lower-level model simulates the joint clearing process of the electric energy, frequency regulation, and inertia markets. To address the non-convexity of the lower-level market clearing caused by the start-up and shutdown states of thermal power units, the problem is relaxed and reconstructed using duality theory to transform it into a single-level mixed-integer programming problem for solution. [Results] The case study analysis indicates that, under the incentive of the value of multiple markets, the net revenue of electrochemical energy storage operators increased by 94 772.32 yuan after the grid-forming transformation, with an increase of as high as 73.5%, while the system operating cost decreased by about 0.2%. When the installed capacity of wind power in the system increased by 50%, the optimal proportion of grid-forming transformation of electrochemical energy storage operators increased from 29% to 64%, the increase in net revenue rose to 04,746.46 yuan, and the reduction in the total system operating cost increased to 85,667.39 yuan. [Conclusions] The method effectively incentivizes grid-following electrochemical energy storage systems to undergo grid-forming transformation, displacing high-marginal-cost thermal power units and thereby raising aggregate social welfare. As the share of renewable generation increases, the economic case for such transformation is further strengthened.
[Objective] In response to the problems of weak bidding ability and market accommodation ability of wind storage systems in the electricity market, and insufficient optimization of peak shaving ability, and in order to promote renewable energy accommodation, a day-ahead trading model for wind hydrogen storage systems to participate in the active ancillary services market is proposed. [Methods] First, the mechanism of wind power hydrogen production system is studied, and a bidding model for wind hydrogen storage systems and thermal power units in the active ancillary services market is proposed; Second, in consideration of the profit demands of both wind hydrogen storage systems and power trading institutions, a two-layer optimization model is established; Finally, through the utilization of the KKT (Karush-Kuhn-Tucker) condition and based on strong duality theory, the proposed two-layer model is transformed into a single-layer integer programming model, and numerical simulations are conducted for analysis. [Results] The results indicate that as the load increases, the trading prices of energy storage suppliers in the electricity market also increase, and the electricity supply and demand relationship in the ancillary services market exhibits a basically similar trend. The energy storage shows higher revenue when participating in the electricity market, frequency regulation ancillary service market, and reserve ancillary service market, at 544 900 yuan. Compared with energy storage only participating in the electricity market or not fully participating in the ancillary services market, the revenue is increased by 53.44%, 47.40%, and 22.59%, respectively. After the integration of the hydrogen energy coupling system, the surplus wind power can be converted into hydrogen for storage and sold for profit, achieving peak-valley arbitrage and fully accommodating wind power. In this case, energy storage suppliers considering hydrogen energy income can increase their revenue by 143 700 yuan, or 26.37%, compared to those without considering hydrogen energy income. [Conclusions] The proposed wind hydrogen storage system not only increases the revenue of operators, but also enhances the competitive advantage of the system in participating in the electricity market bidding, reducing the cost waste caused by wind power curtailment to a certain extent, and improving the level of wind power accommodation. The effectiveness of the proposed model has been verified through result analysis.
Author Login
Peer Review